TIP
参考教程:【电子元器件+模拟电路硬件零基础入门,mos管三极管、电阻电容电感、电子元件、CircuitSimulator】https://www.bilibili.com/video/BV14dTczJE4X?vd_source=d1be7a4fa41169e519ea11876b261491

一 电路基础
1.1 原⼦知识
1.1.1 原子
- 定义:化学反应中的最小粒子,保持着元素的基本化学性质。不同元素的原子种类不同。
- 结构:像一个极其微小的“太阳系”。
- 原子核:位于中心,体积很小但质量极大(占原子总质量的99.94%以上)。原子核由质子和中子紧密结合而成。
- 电子:在原子核外很大的空间里高速运动,质量非常轻(约为质子的1/1836),带负电。
| 粒子 | 电荷 | 相对质量 | 位置 | 作用 |
|---|---|---|---|---|
| 质子 | +1(正电) | 1 | 原子核内 | 定义元素种类。原子核中有几个质子,就决定了它是哪种元素(原子序数)。 |
| 中子 | 0(中性) | ≈1 (略重于质子) | 原子核内 | 稳定原子核。中子通过强核力帮助质子结合在一起,防止因正电相斥而飞散。同位素(同种元素的不同形态)就是由中子数不同造成的。 |
| 电子 | -1(负电) | 约1/1836 | 原子核外空间 | 决定化学性质。电子在化学反应中可以被得失或共享,从而形成化学键。正常情况下,原子中质子数 = 电子数,所以整个原子呈电中性。 |
原⼦是构成物质的最⼩单位,它由原⼦核和电⼦组成,其中原⼦核由质⼦和中⼦组成。

简易模型图
备注:此处提及原⼦结构,是为了给后续的:电流、电压、⼆极管、三极管等知识做铺垫,但也会忽略掉⼀些与电学⽆关的知识,⽐如:有些元素(氢的同位素氕)没有中⼦,再⽐如:中⼦和质⼦的⽐例关系,会对元素的放射性有⼀定影响等,这些知识不在课程中体现。

1.1.2 质子
- 质⼦带⼀个单位的正电荷,且质⼦数量决定着元素身份,改变了质⼦数量,也就改变了原⼦的类型。
1.1.3 中⼦
- 中⼦不带电,且中⼦对原⼦的影响远⼩于质⼦。
1.1.4 电子
电⼦带⼀个单位的负电荷,它围绕原⼦核做⽆规则的运动。
通常来说原⼦的质⼦数和电⼦数相等,其内部的正电荷与负电荷互相抵消,这时候原⼦呈电中性。
电⼦层:电⼦围绕原⼦核活动的范围。
最外层电⼦数为 8个时,通常是较稳定的状态。
不同电荷之间互相吸引,相同电荷之间互相排斥。
最外层的电⼦更容易脱离原⼦,因为它们与原⼦核的距离较远,受到的引⼒较弱。

每个电⼦层上最多可容纳的电⼦数为 : 2n (n是电⼦层的编号),例如:
第⼀层(n=1)最多容纳: 2 * 1 = 2 个电⼦
第⼆层(n=2)最多容纳: 2 * 2 = 8 个电⼦
第三层(n=3)最多容纳: 2 * 3 = 18 个电⼦

1.2 电流
1.2.1 概念
TIP
概念:电荷的定向移动,形成了电流,衡量电流的⼤⼩,要看单位时间内通过导体横截⾯的电荷量。
注意:电学上定义的『电流⽅向』是正电荷的流动的⽅向,这个概念在19世纪初就先被定义了,后来虽然发现了是电⼦在移动,但为了保持定义的统⼀性,『电流⽅向』仍然⽤正电荷的流动去定义,所以『电流⽅向』与『电⼦移动⽅向』是相反的。
1.2.2 单位
- 单位:安培(A)
- 1A 的含义:1秒钟内有 6.242*10 个单位电荷通过了导体横截⾯(电⼦、质⼦、都属于单位电荷)。
- 备注: 6.242*10 个单位电荷所带的电荷总量,为 1 库伦(C)。所以 1A 的含义也能这样描述: 在1秒钟内,有1库仑的电荷通过了导体的横截⾯。
1.2.3 单位换算
- 进位为1000,例如 1A = 1000mA ,常⽤的是: 安(A)、毫安(mA)

1.2.4 常⻅电器的⼯作电流

1.3 电场、电势、电势能
1.3.1 重⼒场、电场
TIP
重⼒场:在地球周围存在,有质量的物体进⼊该区域后,会受到被拉向中⼼的⼒。
电场:在电荷周围存在,带电的粒⼦进⼊这个区域后,会受到吸引⼒或排斥⼒。
沿着电场线⽅向,电场的强度会逐渐减弱,且⽆论正电荷还是负电荷,⽆穷远处的电场强度为 0。

1.3.2 重⼒势能、电势能
TIP
- 重⼒势能:描述物体在重⼒场中所具备的能量,与所处位置、物体质量,均有关。
- 电势能:描述带电粒⼦在电场中所具备的能量,与所处位置、粒⼦带电量,均有关。
- 左图中:桌⼦⾼度越⾼、⼩球质量越⼤,它所具备的重⼒势能就越⼤。
- 右图中:电场中试探电荷距离中⼼电荷距离越近、试探电荷所带电量越多,电势能就越⼤。

1.3.3 重⼒势、电势


1.4 电压
1.4.1 概念
- ⼜称电势差,是两点之间电势的差值,衡量电压的⼤⼩,要看两点电势差的⼤⼩。
1.4.2 单位
- 伏特( V )
- 1V 的含义是:电场 对 1库伦(C) 电荷,做了 1焦⽿(J) 的功。
1.4.3 单位换算
- 进位为1000,例如 1kV = 1000V

1.4.4 常⻅电源的电压

1.5 电阻
1.5.1 概念
- 材料或元器件对电流流动的阻碍程度。
1.5.2 单位
欧姆(简称欧),符号是Ω。
1Ω 的含义:给导体施加 1V 电压,此时如果导体的电流为1A,那这个导体的电阻就是1Ω。
1.5.3 单位换算
- 进位为1000,例如 1KΩ = 1000Ω

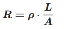
1.5.4 电阻决定式

R:电阻。
ρ:材料的电阻率,表示材料对电流的阻碍能⼒。
L:导体的⻓度。
A:导体的横截⾯积。

1.6 电路
1.6.1 概念
TIP
- 电源:物理学中将提供电能的装置叫做电源。
- ⽤电器:将灯泡、电动机、等这类消耗电能的装置叫做⽤电器。
- 电路:电源、⽤电器,再加上导线、开关等,组就成了电流可以流过的路径,这就是电路


1.6.2 电路图
- 在绘制电路图时,为了绘制简单且⽅便研究,通常⽤图形符号来表示元件。

1.6.3 电路状态


1.7 欧姆定律
1.7.1 概念
- 导体中的电流,与导体两端的电压成正⽐,与导体的电阻成反⽐。
- 推导结论:在电阻不变的情况下,电压越⼤,电流也会越⼤。




1.7.2 直流电与交流电
直流电:有固定的正负极,且电流⽅向始终『不变』的电流,全称:Direct Current,简称DC

交流电: 电流⽅向随时间做『周期性变化』的电流,全称:Alternating Current,简称 AC。
交流电的电流⽅向⼀定做周期性变化,但电流⼤⼩不⼀定做周期性变化!

整流 :交流(AC) → 直流(DC)
逆变 :直流(DC) → 交流(AC)
备注:在⽣活中很多的电器,都是把交流变成直流后⼯作的,例如:电脑、⼿机、路由器等,因为直流电更加稳定,适合精密电路。

1.7.3 强电与弱电
弱电:电压⼀般较低,⾏业规定安全电压为不⾼于36V,弱电通常⽤于直流电路(3.3V、5V、12V)、弱电也能于信号传递,例如:⾳频和视频线路、⽹络线路、电话线等。

强电:电压⼀般很⾼,例如:220V 的家⽤电,1000V 及以上的⾼压电,强电常⽤于传递能量。

1.8 串联与并联
1.8.1 串联电路

1.8.2 并联电路

1.9 电路仿真软件

1.10 电功率
1.10.1 概念
TIP
概念:⽤于衡量电流在单位时间内所做的功(⽤来表示⽤电器消耗电能快慢的物理量)。
单位:瓦特(简称瓦),符号是W。
单位换算:进位为1000,例如: 1kW = 1000W 。



1.10.2 瓦时 VS 千瓦时
TIP
⼆者都是表示电能的⼀种单位。
- 瓦时:
瓦时是功率(W)与时间(h)的乘积, 即:瓦时 = 功率 × 时间。
⼀个 1W 的⽤电器,⼯作 1h ,它消耗的电量就是1瓦时( 1Wh )。
2. 千瓦时:
千瓦时是瓦时的千倍, 通常⽤于描述⼤型电⼒设备,如电表读数、新能源汽⻋等。
⼀个 1kW 的电器⼯作 1h ,它消耗的电量就是1千瓦时( 1kWh ,俗称1度电)。

1.10.3 安时、毫安时
TIP
⼆者都是描述电池容量的单位。
安时:表示该电池能以 1A 的电流持续⼯作 1h ,通常⽤于描述⼤容量的电池。
毫安时:安时的千分之⼀,通常⽤于描述⼩容量的电池。
例如:华为『Mate70 Pro』⼿机电池容量为 5700mAh ,充电宝的电池容量为 20000mAh ,有些时候我们也省略 h ,直接说:⼿机的电池容量和为 5700mA ,充电宝电池容量为: 20000mA 。

1.10.4 焦耳定律
- 电流通过导体产⽣的热量与电流的平⽅成正⽐,跟导体的电阻成正⽐,跟通电时间成正⽐。
- 单位:焦⽿(J),简称焦


- 案例:⼀根 60Ω 的电阻丝接在 36V 的电源两端,在 5s 内共产⽣多少热量?

注意:电路通过导体时,如果电能全部转化为内能,⽽没有同时转化为其他形式的能量,那么电流产⽣的热量就等于消耗的电能,但实际上:只有纯电阻电路,才能把电能完全⽤于产⽣热量!

二 元器件基本知识
2.1 元器件封装方式

插件封装

贴片封装

大多是贴片封装,少数插件封装
- 51开发板

- 32开发板

2.2 采购

直流稳定电源:直流稳定电源的作用是:为电子设备提供“干净、可控、安全”的直流电,确保系统可靠运行和精准测试。


2.3 电阻器

WARNING
电阻器的理解:
- 电阻器是一种对电流产生阻碍作用的电子元件,它的核心功能是控制电路中的电流和电压。水暖系统
想象一个给房子供暖的水循环系统:
- 电池/电源 就像 水泵,提供压力(电压)让水流动。
- 导线 就像 水管,是水(电流)流动的通道。
- 电阻器 就像 水龙头或一个狭窄的水管段。
- 阻碍水流:当你关小水龙头(增大电阻),水流(电流)就变小了;开大水龙头(减小电阻),水流就变大。
- 产生压降:水流经过狭窄处,前方压力会降低。同样,电流经过电阻,电阻两端的电压也会降低。电阻就像一个“消耗电压的元件”。
- 能量转换:水在流经狭窄处时,摩擦会产生热量。电流在流经电阻时,电子碰撞也会产生热量,这就是电阻的发热效应。
核心公式:欧姆定律
这个水系统的规律,在电学中就是
V = I × R。
- V (电压): 水泵的压力差,单位伏特。
- I (电流): 水流的流量,单位安培。
- R (电阻): 水龙头的“狭窄程度”,单位欧姆。
这个公式告诉我们三者的关系:在同样的电压下,电阻越大,电流就越小;要得到同样的电流,电阻越大,需要的电压就越高。
2.3.1 固定电阻
TIP
固定电阻(Fixed Resistor)是最基础、最常见的电子元件之一,其核心特点是:阻值在制造完成后即固定不变(不随电压、电流、温度或时间显著变化,理想情况下为常数)。
- 限流(Current Limiting)
- 限制电路中的电流大小,保护敏感器件(如 LED、晶体管)。
- 例:串联一个 220Ω 电阻给 LED 供电,防止过流烧毁。
- 分压(Voltage Division)
- 与其它电阻组成分压电路,获取所需电压。
- 例:传感器信号调理、ADC 参考电压生成。
- 上拉/下拉(Pull-up / Pull-down)
- 确保数字输入引脚在无信号时处于确定电平(高或低),避免悬空干扰。
- 常用于微控制器 GPIO、I²C 总线等。
- 阻抗匹配(Impedance Matching)
- 减少信号反射,提高传输效率(在高频或长线通信中)。
- 偏置设置(Biasing)
- 为晶体管、运放等有源器件提供合适的工作点(静态工作点)。
- 终端匹配(Termination)
- 在通信线路末端接入电阻,消除信号振铃(如 RS-485、CAN 总线)。

- 常见类型
| 类型 | 特点 | 应用场景 |
|---|---|---|
| 碳膜电阻 | 成本低,噪声较大,精度一般(±5%) | 普通消费电子、电源电路 |
| 金属膜电阻 | 精度高(±1% 或更高),温漂小,噪声低 | 仪器仪表、精密电路 |
| 金属氧化膜电阻 | 耐高温、耐高压,功率较大 | 电源、工业设备 |
| 绕线电阻 | 功率大,精度高,但有电感 | 大电流负载、电流采样 |
| 贴片电阻(SMD) | 体积小,适合自动化贴装 | 手机、电脑、各类 PCB |
- 参数

| 参数 | 说明 |
|---|---|
| 标称阻值 | 如 1kΩ、10kΩ、100Ω |
| 允许偏差(精度) | ±1%、±5% 等(E24、E96 系列) |
| 额定功率 | 如 1/8W、1/4W、1W —— 超过会发热烧毁 |
| 温度系数(TCR) | 单位:ppm/°C,表示温度变化引起的阻值漂移 |
| 最大工作电压 | 高压下可能击穿(尤其高阻值电阻) |
WARNING
注意点:电阻的外观大小,和阻值没有必然联系,外观大小通常和功率有关。额定功率过载,温度过高


2.3.1.1 线绕电阻
TIP
线绕电阻(Wirewound Resistor)是一种通过将高电阻率的合金电阻丝(如康铜、锰铜、镍铬合金等)的方法制成的固定电阻器。它在功率、精度和稳定性方面具有独特优势,适用于特定高性能场景。
- 电阻体:精密绕制在陶瓷、玻璃纤维或铝制骨架上的电阻丝。
- 封装:通常外覆绝缘釉层、硅涂层或金属外壳(带散热片),部分可灌封环氧树脂。
- 引脚:轴向引线(直插)或螺栓安装(大功率)。
- 本质:利用金属合金丝的固有电阻率实现阻值,物理结构稳定。


- 工艺


优点
| 特性 | 说明 |
|---|---|
| 高功率承受能力 | 可达数瓦至数百瓦(如 5W、10W、50W+),适合大电流场合 |
| 高精度 | 可做到 ±0.1%、±0.01% 甚至更高(用于标准电阻、测量仪器) |
| 低温漂(TCR) | 低至 ±5 ppm/°C(使用锰铜等材料),温度变化时阻值几乎不变 |
| 长期稳定性好 | 老化率低,适合长期工作的精密设备 |
| 耐高温 | 工作温度可达 200°C 以上(取决于封装材料) |
缺点
| 问题 | 原因 | 影响 |
|---|---|---|
| 存在寄生电感 | 电阻丝绕成线圈 → 形成电感 | ❌ 不适用于高频电路(如射频、高速数字信号) |
| 体积较大 | 相比贴片或碳膜电阻 | 不适合高密度 PCB 设计 |
| 成本较高 | 材料和工艺复杂 | 消费电子中较少使用 |
场景
| 领域 | 应用示例 |
|---|---|
| 电源系统 | 开关电源电流采样、负载电阻、浪涌抑制 |
| 工业控制 | 电机驱动制动电阻、变频器能耗制动 |
| 测试测量 | 标准电阻箱、万用表内部基准、校准设备 |
| 音频设备 | 功放输出级(低噪声、高可靠性) |
| 汽车电子 | 电池管理系统(BMS)电流检测 |
| 老化测试 | 作为假负载(Dummy Load)吸收功率 |
2.3.1.2 碳膜电阻
TIP
碳膜电阻(Carbon Film Resistor)是一种广泛应用的固定电阻器,因其成本低、性能稳定、制造工艺成熟,是消费类电子产品中最常见的电阻类型之一。
- 基体:陶瓷棒(绝缘、耐高温)
- 电阻层:在陶瓷棒表面高温分解烃类气体(如甲烷),沉积一层结晶碳膜
- 调节阻值:通过激光或机械方式在碳膜上切割出螺旋槽,改变导电路径长度
- 封装:外覆环氧树脂涂层,印有色环标识阻值


- 工艺


优点
| 优点 | 说明 |
|---|---|
| 成本低廉 | 原材料便宜,适合大规模生产 |
| 噪声较低 | 比碳合成电阻(实心电阻)噪声小 |
| 高频特性较好 | 寄生电感/电容小,适用于一般高频电路(如音频、射频前端) |
| 工作电压较高 | 可承受数百伏电压(适合电源电路) |
| 稳定性较好 | 在常温常湿环境下性能可靠 |
缺点
| 优点 | 说明 |
|---|---|
| 成本低廉 | 原材料便宜,适合大规模生产 |
| 噪声较低 | 比碳合成电阻(实心电阻)噪声小 |
| 高频特性较好 | 寄生电感/电容小,适用于一般高频电路(如音频、射频前端) |
| 工作电压较高 | 可承受数百伏电压(适合电源电路) |
| 稳定性较好 | 在常温常湿环境下性能可靠 |
应用场景
| 领域 | 应用示例 |
|---|---|
| 消费电子 | 手机充电器、电视、音响内部偏置、限流 |
| 电源电路 | 启动电阻、假负载、反馈分压 |
| 信号调理 | 音频耦合、滤波、上拉/下拉 |
| 教育实验 | 电子套件、基础电路教学 |
| 通用 PCB 设计 | 成本敏感型产品的首选电阻 |
2.3.1.3 金属膜电阻
TIP
属膜电阻(Metal Film Resistor)是目前应用最广泛、综合性能最优的固定电阻类型之一,尤其在对精度、稳定性、噪声和温度特性有较高要求的电路中占据主导地位。
- 基体:高纯度陶瓷棒(绝缘、耐高温)
- 电阻层:在真空环境中,通过溅射或蒸发工艺将镍铬(NiCr)等合金沉积在陶瓷表面,形成一层致密的金属薄膜(厚度约几十纳米)
- 阻值调节:用激光精密切割螺旋槽,精确控制电阻值
- 封装:外覆环氧树脂保护层,印有色环或数字标识(5色环)


- 工艺


优点
| 特性 | 优势说明 |
|---|---|
| 高精度 | 常见 ±1%、±0.5%,甚至 ±0.1%(E96、E192 系列) |
| 低温漂(TCR) | 典型值 ±25 ~ ±100 ppm/°C(碳膜为 -200~-500 ppm),温度变化时阻值更稳定 |
| 低噪声 | 电流通过时产生的电噪声极小,适合音频、传感器、精密放大电路 |
| 长期稳定性好 | 老化率低(年漂移 <0.1%),适合长期运行设备 |
| 高频特性优良 | 寄生电感/电容小,可用于MHz级信号电路 |
| 体积小、一致性好 | 适合自动化贴装和高密度 PCB 设计 |
缺点
| 缺点 | 说明 |
|---|---|
| 成本略高于碳膜电阻 | 但差距已很小,大批量下几乎无感 |
| 功率一般不大 | 常见 1/8W ~ 1W,大功率需选金属氧化膜或线绕电阻 |
| 耐浪涌能力较弱 | 瞬间高压/大电流可能烧毁薄膜(不如绕线电阻 robust) |
场景
| 领域 | 应用示例 |
|---|---|
| 精密仪器 | 万用表、示波器、数据采集卡内部基准电阻 |
| 传感器信号调理 | 应变片、热电偶放大电路中的增益/偏置电阻 |
| 音频设备 | 前级放大、音调控制(低噪声关键!) |
| 通信模块 | 射频匹配、滤波器、ADC/DAC 外围电路 |
| 工业控制 | PLC、变送器、高可靠性控制系统 |
| 计算机与手机主板 | 电源管理、信号终端匹配 |
2.3.1.4 贴片电阻
TIP
贴片电阻(Surface Mount Resistor,简称 SMD 电阻 或 Chip Resistor)是专为表面贴装技术(SMT)设计的微型固定电阻,广泛应用于现代电子产品(如手机、电脑、可穿戴设备等)中,因其体积小、适合自动化生产、高频性能好而成为主流。
- 基体:高强度陶瓷(氧化铝)
- 电阻层:金属膜(NiCr 镍铬合金为主)或厚膜(钌酸盐浆料烧结)
- 电极:三层结构(内:银/钯;中:镍阻挡层;外:锡/铅或无铅焊料)
- 封装:无引脚,矩形片状,直接焊接在 PCB 表面
常见类型:
- 薄膜贴片电阻(Thin Film)→ 高精度、低温漂(用于仪器)
- 厚膜贴片电阻(Thick Film)→ 成本低、通用性强(90% 以上消费电子使用)



- 工艺

厚膜(主要针对功率⽽设计):
- 厚度:通常在 100 微⽶左右。
- 精度:常⻅精度为 1% ~ 5% ,最⾼达到 0.1% 左右。
- 功率: 10mW ~ 10W 。
- TCR: 50ppm/℃ ~ 200ppm/℃ 。
- 抗氧化能⼒相对好⼀些。
- 适⽤于:⼀般消费电⼦、汽⻋电⼦、家电等领域。
- 厚膜电阻覆盖了 90%左右的消费类电⼦产品,应⽤⼗分⼴泛!
薄膜(主要针对精度⽽设计):
- 厚度:通常在 0.1 微⽶左右。
- 精度:常⻅精度为 0.1% ~ 2% ,最⾼可达 0.01% 。
- 功率: 10mW ~ 3W 。
- TCR低: 5ppm/℃ ~ 50ppm/℃ 。
- 抗氧化能⼒不是很好。
- 适⽤于:⼀些精密电路(精密仪器、⾼端⾳响、测量设备等)
2.3.1.5 ⾦属箔电阻
TIP
金属箔电阻 是一种利用黏贴在陶瓷基片上的超薄合金箔(通常厚度在微米级别),通过光刻工艺蚀刻出特定图案,从而形成电阻元件的电子元器件。

- 工艺:把合⾦(镍铬合⾦等)与添加剂混合,做成厚度控制在⼏微⽶范围内的膜,涂在绝缘体上,随后刻蚀成不同的纹路来控制阻值。
精度极⾼:精度可达 ±0.001% 。
功率范围: 1/16W ~ 15W 左右。
成本很⾼: 100 个 135Ω ,精度 ±0.01% ,功率 600mW ,约
为 5700 元。
TCR极低: 1ppm/℃ ,特殊制造的可达 0.05ppm/℃
低噪声、耐静电、低感低容。
⾦属箔电阻是所有电阻中,精度和稳定性最好的电阻!
适⽤ 对可靠性要求极⾼的场景,例如:航空航天领域、军⼯领域、医学领域等。
2.3.2 可调电阻
TIP
可调电阻(Adjustable Resistor)是一类阻值可以在一定范围内手动或自动调节的电子元件,广泛用于电路调试、参数校准、音量/亮度控制等场景。


2.3.3 特种电阻
TIP
特种电阻(Specialty Resistors)是指具有特定物理、电气或环境响应特性的一类电阻器,其阻值会随外部条件(如温度、光照、电压、磁场、气体等)发生可预测的变化。它们不仅是“限流/分压”元件,更是传感器(Sensor)。
2.3.3.1 保险丝


2.3.3.2 光敏电阻


2.3.3.3 压敏电阻





